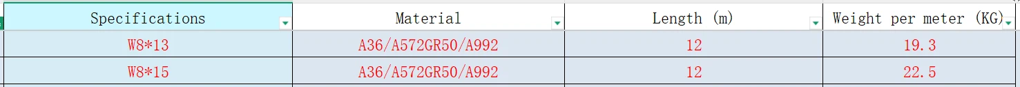
The difference between W8x13 and W8x15 h section steel
W8x13 h shaped steel
Lightweight applications: Due to its lighter weight per foot (13 pounds per foot), W8x13 is suitable for occasions where the load-bearing capacity is not particularly high.
Residential and commercial buildings: In some residential or small commercial buildings that do not need to withstand extreme loads, W8x13 can be used as beams or columns to support floors or roofs.
Secondary frame structure: It can be used as an auxiliary structural material to support the main frame structure, such as partition walls, interior decoration frames, etc.
W8x15 h beam structure
Medium load requirements: Compared with W8x13, W8x15 has a higher weight per foot (15 pounds per foot) and is more suitable for applications that require higher strength and load-bearing capacity.
Industrial construction: For industrial plants or warehouses that require stronger support, W8x15 is more suitable and can withstand greater loads.
Bridge construction: In some cases, W8x15 may also be used for secondary components in bridge construction, especially where the span is not large and the required load-bearing capacity is moderate.



